Россия, Новосибирск, Каменская улица
Телефон:
+7 (923) 145-18- Показать номер
Пн-чт, вс: 10:00—22:00; пт-сб: 10:00—23:00
whatsapp telegram vk email

Бытовые проблемы, которые поможет решить обыкновенный крахмал

Как используют крахмал

Сферы использования крахмала

На кухне этому продукту всегда найдется применение. Загустить подливу или соус, удалить излишнюю влагу из бисквита, не дать растечься начинке в пироге — со всем этим отлично справится крахмал. Опытные хозяйки добавляют его в тесто при выпечке блинов и чебуреков, лепке пельменей и вареников.

Кстати, с успехом можно использовать порошок и для панировки мяса, овощей, рыбы. В таком случае сверху образуется аппетитная, хрустящая корочка.

Те, кому важно отсутствие глютена, могут использовать рисовый или кукурузный крахмал для приготовления вкусных диетических блюд. Можно ли в качестве загустителя использовать другой продукт? Смотря что мы готовим

Продуктами со сходными свойствами являются агар-агар, кокосовая стружка, манка, льняная мука. Кстати, в котлеты можно добавить сырой натертый картофель

Можно ли в качестве загустителя использовать другой продукт? Смотря что мы готовим. Продуктами со сходными свойствами являются агар-агар, кокосовая стружка, манка, льняная мука. Кстати, в котлеты можно добавить сырой натертый картофель.

А вот для киселя лучшего загустителя, чем крахмал вы не найдете.

Однако не забывайте, что продукт имеет высокую энергетическую ценность: на 100 г приходится целых 300 Ккал. Как мы помним, крахмал быстро превращается в глюкозу, а это грозит нам излишками жира на боках.

Функции в организме

Крахмал

Единственная роль крахмала в рационе человека – превращение в глюкозу для получения дополнительной энергии.

Этот процесс начинается уже в тот момент, когда крахмалистая пища попадает в ротовую полость. На этом этапе слюна окружает молекулы крахмала, воздействуя на них, так возникает продукт расщепления – мальтоза, более простой углевод. Затем новое вещество попадает в тонкую кишку, где оно проходит очередные трансформации и превращается в глюкозу. И только после этого организм поглощает глюкозу (стенками кишечника), вещество попадает в кровь и уже по сосудам передвигается по всему организму, снабжая каждую клетку энергией.

Меж тем организм не способен использовать за один «присест» сразу всю порцию глюкозы, полученной из крахмалов. Лишнее хранится в виде гликогена в тканях печени и мышц. И когда организм переживает упадок сил, гликоген приходит ему на помощь.

Получение крахмала

Как использовать крахмал в быту

Крахмал получают из картофеля и риса, реже — из других зерновых. Саго — крахмалистые продукты из древесины саговой пальмы, а также некоторых саговников.

В тропиках выращивают много крохмалоносних растений: батат, ямс, таро, маниок и другие.

Чтобы добыть крахмал, нужно разрушить клеточные стенки и добыть сок. Для этого сырье измельчают на терках, получая кашицу. Чтобы выделить свободный крахмал, кашицу многократно промывают на ситах в ситовых аппаратах. Ситовые аппараты в пять степеней проводят разделение продукта на мезгу и крахмальную суспензию (крахмальное молоко) различной концентрации. Крахмальное молоко рафинируют (очищают). После этого выделенный крахмал многократно промывают чистой водой на специальных центрифугах-пурификаторах или гидроциклонах.

В производстве картофельного крахмала применяют процессы очистки картофеля от легких и тяжелых примесей, мойки, измельчения, выделения клеточного сока, ситування и промывки, центрифугирования и сушки.

Из картофельного крахмала можно получить отдельно амилозы (суперлозу) и амилопектин (ромалин). Для этого на крахмал действуют растворами солей MgSO 4, (NH 4) 2 SO 4, Na 2 SO 4, содержащие н-бутиловый спирт, при 120 ° С. После этого амилозы осаждают при 70 ° С, а амилопектин — 20 ° С.

В производстве кукурузного крахмала существует два способа: сирчистокислотний и щелочной. По первому способу кукурузное зерно замачивают в 0,1-0,2% водном растворе сернистой кислоты при 48-50 ° С в течение двух суток, зерно промывают, грубо измельчают, выделяют зародыш, тонко измельчают, промывают крахмал на ситовых аппаратах, отделяют от мелкой и крупной мезги, глютена (на сепараторах), промывают на вакуум-фильтрах, центрифугируют, высушивают или перерабатывают на крахмало-продукты. По второму способу кукурузу замачивают в водном растворе щелочи, промывают, измельчают, крахмал выделяют и проходят мимо на ситовых аппаратах, центрифугируют, высушивают или направляют без высушивания на переработку.

Фракционирования крахмала

Для разделения крахмала на его компоненты, амилозы и амилопектин, используют два основных способа. Амилозы можно выборочно выщелачиваться из гранул, нагретых чуть выше температуры клейстеризации. При более высоких температурах выщелачиваются не только амилоза, но и амилопектин, из-за чего требуется дополнительное очищение. Фракции, получаемые выщелачивания, трудно поддаются количественной оценке, но если перед процессом водного выщелачивания обработать крахмал горячим водным раствором бутанола, то способность амилопектнна до растворения снизится, в результате чего будет выделено большее количество амилозы.

Другим методом является полное диспергирование гранул с последующим разделением компонентов. Крахмалы злаков очень трудно диспергировать полностью — для этого необходимо, чтобы смесь в течение нескольких часов находилась в автоклаве при температуре около 130 ° С. В этих условиях необходимо предотвратить расщеплению крахмала, то есть обезжирить его, буферизацию и защитить от воздействия кислорода. Существует несколько видов предварительной обработки крахмала, что позволяет его диспергировать полностью. Для этого можно использовать, например, жидкий аммиак, диметилсульфоксид или щелочной раствор. После полного диспергирования крахмала чаще всего для выделения амилозм ее осаждают в виде комплексов с n-бутанолом или тимолом. Для получения чистой амилозы необходимо несколько раз выполнить повторное осаждение. Амилопектин можно получить лиофилизацией или осадить спиртом.

Крахмал

Чем отличается картофельный крахмал от кукурузного

Это белый, безвкусный порошок, который знаком многим из нас. Он содержится в пшеничном и рисовом зерне, фасоли, картофельном клубне и початке кукурузы.

Однако, помимо этих продуктов, мы встречаем крахмал в вареной колбасе, кетчупе и, конечно же, во всевозможных киселях. В зависимости от своего происхождения, зерна крахмала различаются по форме и размеру частицы.

При сжатии порошка крахмала в руке он издаёт характерный скрип.

Продукты богатые крахмалом:

Указано ориентировочное количество в 100 г продукта

Коварный крахмал. В чём заключается вред?Коварный крахмал. В чём заключается вред?

Крахмал абсолютно нерастворим в холодной воде. Однако под воздействием горячей воды он набухает и превращается в клейстер. Во время учебы в школе, нам преподавали, что если на кусок хлеба капнуть каплю йода, хлеб посинеет. Связано это со специфической реакцией крахмала. В присутствии йода он образует, так называемый, амилйодин синего цвета.

К слову сказать, первая часть слова – «амил», указывает на то, что крахмал является слизистым соединением и состоит из амилозы и амилопектина. Что касается образования крахмала, то своим возникновением он обязан хлоропластам зерновых культур, к артофелю, а также растению, которое на своей родине, в Мексике, называется маисом, а мы с вами знаем его как кукурузу.

Необходимо отметить, что по своему химическому строению крахмал является полисахаридом, который под воздействием желудочного сока способен преобразовываться в глюкозу.

Суточная потребность в крахмале

Как уже было сказано выше, крахмал под воздействием кислоты гидролизуется и превращается в глюкозу, которая является основным источником энергии для нашего организма. Поэтому, чтобы чувствовать себя хорошо, человек обязательно должен съедать некоторое количество крахмала.

Вам достаточно просто употреблять каши, хлебобулочные и макаронные изделия, бобовые (горох, фасоль, чечевицу), картофель и кукурузу. Также, хорошо добавлять в пищу хотя бы незначительное количество отрубей! По медицинским показаниям, суточная потребность организма в крахмале составляет 330-450 грамм.

Потребность в крахмале возрастает:

Поскольку крахмал является сложным углеводом, его употребление оправдано в том случае, если человеку предстоит длительная работа, во время которой отсутствует возможность частого питания. Крахмал, постепенно трансформируясь под воздействием желудочного сока, выделяет необходимую для полноценной жизнедеятельности глюкозу.

Потребность в крахмале снижается:

  • при различных заболеваниях печени, связанных с нарушением расщепления и усвоения углеводов;
  • при малых физических нагрузках. В этом случае крахмал способен преобразовываться в жир, который откладывается “прозапас”;
  • в случае с работой, требующей немедленного поступления энергии. Крахмал же преобразуется в глюкозу только спустя какое-то время.

Усваиваемость крахмала

В связи с тем, что крахмал является сложным полисахаридом, который под воздействием кислот способен полностью преобразовываться в глюкозу, то и усваиваемость крахмала приравнивается к усваиваемости глюкозы.

Поскольку крахмал способен превращаться в глюкозу, то и его воздействие на организм аналогично глюкозе.

При этом нагрузка, оказываемая на поджелудочную железу значительно меньше, что благоприятно сказывается на здоровье организма.

Взаимодействие крахмала с другими эссенциальными элементами

Крахмал хорошо взаимодействует с такими веществами, как теплая вода и желудочный сок. При этом вода заставляет зерна крахмала набухать, а соляная кислота, входящая в состав желудочного сока, превращает его в сладкую глюкозу.

Признаки избытка крахмала в организме:

  • частые головные боли;
  • избыточная масса тела;
  • снижение иммунитета;
  • раздражительность;
  • проблемы с тонким кишечником;
  • запоры

Как и употребление любого другого углевода, употребление крахмала следует строго регламентировать.

Нельзя употреблять избыточное количество крахмалистых веществ, поскольку это может привести к образованию каловых камней. Однако и избегать употребления крахмала также не следует, ведь помимо источника энергии, он образует защитную пленку между стенкой желудка и желудочным соком.

Мы собрали самые важные моменты о крахмале в этой иллюстрации и будем благодарны, если вы поделитесь картинкой в социальной сети или блоге, с ссылкой на эту страницу:

Крахмал

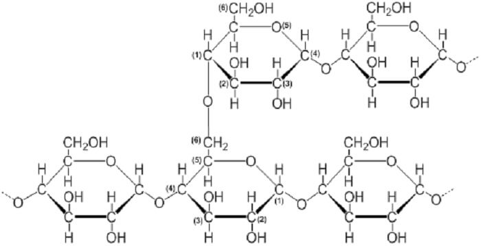
Крахмалом называется полисахарид, построенный из остатков циклической α-глюкозы.

В его состав входят:

  • амилоза (внутренняя часть крахмального зерна) – 10-20%
  • амилопектин (оболочка крахмального зерна) – 80-90%

Цепь амилозы включает 200 — 1000 остатков α-глюкозы (средняя молекулярная масса 160 000) и имеет неразветвленное строение.

  Амилопектин имеет разветвленное  строение и гораздо большую молекулярную массу, чем амилоза.

Свойства крахмала

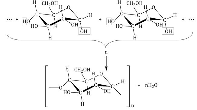
Гидролиз крахмала: при кипячении в кислой среде крахмал последовательно гидролизуется:

Запись полного гидролиза крахмала без промежуточных этапов:

Крахмал не дает реакцию “серебряного зеркала” и не восстанавливает гидроксид меди (II).

Качественная реакция на крахмал: синее окрашивание с раствором йода.

Отличие крахмала от целлюлозы

Крахмал и целлюлоза считаются братьями-близнецами. Они сделаны из глюкозы. Оба являются полимерами. Единственное отличие крахмала от целлюлозы заключается в повторяющихся звеньях глюкозы, когда речь идёт о химической формуле веществ.

Звенья крахмала имеют альфа-связи, в то время как целлюлоза имеет бета-связи. Из-за этого организм человека способен переварить и расщепить крахмал, а целлюлозу — нет.

Как следствие, крахмал уступает целлюлозе в прочности. Целлюлоза не может раствориться в воде. Тяжело поддается разложению. Является надёжным материалом для изготовления различных тканей, бумаги, пластмассы.

Польза и вред для организма

В человеческом организме резистентный крахмал работает по принципу растворимого волокна. Он проходит через желудок и тонкую кишку в непереваренном виде, а в кишечнике служит пищей для полезных бактерий (кишечной флоры). Существует сотни видов бактерий, которые оказывают влияние на здоровье, без некоторых из них невозможно бы было функционирование организма. И резистентный крахмал питает эти микроорганизмы. В результате такого взаимодействия образуются разные типы полезных соединений – от газов до жирных кислот, одна из которых – бутират. Крахмал, таким образом, питает полезные бактерии и косвенно клетки толстой кишки за счет увеличения количества бутирата.

Кроме того, резистентное вещество обладает несколькими полезными свойствами для кишечника. Во-первых, снижает уровень рН, уменьшает воспаления, а также снижает риск развития рака толстой кишки. Из-за лечебного воздействия на толстую кишку крахмал может быть полезным при расстройствах пищеварения, в том числе воспалениях кишечника, болезни Крона, запорах, дивертикулезе и диарее. Также исследования показали, что устойчивый крахмал улучшает поглощение минералов. Защищает организм от токсичных веществ, предотвращая их всасывание кишечником.

Но так ли полезен резистентный крахмал, как говорят некоторые исследователи? Пока однозначного ответа на этот вопрос нет, так как научные опыты продолжаются. И не исключено, что вся гипотетическая чудодейственность резистентного крахмала может и не подтвердиться. Но то, что крахмал обязательно должен быть частью вашего рациона – это однозначно.

Крахмал, формула, молекула, строение, состав, вещество:

Крахмал – растительный полисахарид со сложным строением, смесь полисахаридов амилозы и амилопектина, мономером которых является α-глюкоза.

Крахмал – смесь макромолекул амилозы и амилопектина, имеющая формулу (C6H10O5)n.

Крахмал – природный углевод, накапливаемый в клетках растений в виде крахмальных зерен и выделяемый из крахмалсодержащего сырья при его переработке.

Таким образом, в состав крахмала входят амилоза и амилопектин. Соотношение амилозы и амилопектина различно в различных крахмалах: амилозы 13-30 %; амилопектина 70-85%. Звенья амилозы и амилопектина соединены между собой в цепочки посредством α-(1→4) гликозидных связей.

Амилоза – полисахарид, образованный линейными или слаборазветвлёнными цепочками остатков α-глюкозы, соединённых α-(1→4) гликозидными связями. Цепочка амилозы состоит из 200-1000 структурных единиц (остатков α-глюкозы) и закручена в спираль. На каждый виток приходится по шесть остатков α-глюкозы. Молекулярная масса амилозы колеблется от 50 000 до 160 000. Благодаря своему строению (цепочки молекулы амилозы закручены в спираль) амилоза растворима в горячей воде.

Амилопектин – полисахарид, образованный разветвлёнными цепочками остатков α-глюкозы, соединённых α-(1→4) и в точках разветвления цепи α-(1→6) гликозидными связями. Цепочка амилопектина состоит из 6000-40000 структурных единиц (остатков α-глюкозы). Цепочка амилопектина имеет разветвленное строение через каждые 20-25 остатков α-глюкозы, в точках разветвления цепи остатки α-глюкозы связаны между собой α-(1→6) гликозидными связями. Структура амилопектина трехмерна, его ветви расположены по всем направлениям и придают молекуле сферическую форму. Молекулярная масса амилопектина достигает 1 000 000. Амилопектин не растворим в холодной воде, в горячей воде образует студенистую часть клейстера.

Помимо полисахаридов (амилозы и амилопектина) в состав крахмала входят неорганические вещества (остатки фосфорной кислоты), липиды, жирные кислоты.

Химическая формула крахмала (C6H10O5)n.

Аналогичную химическую формулу имеет и гликоген (называемый животным крахмалом). Гликоген – это полисахарид состава (C6H10O5)n, образованный остатками глюкозы, соединёнными α-(1→4) и в местах разветвления – α-(1→6) гликозидными связями. В клетках животных гликоген служит основным запасным углеводом и основной формой хранения глюкозы. Откладывается в виде гранул в цитоплазме клеток (главным образом в клетках печени и мышц). Гликоген отличается от крахмала более разветвлённой и компактной структурой, а также физическими и химическими свойствами.

Строение молекулы крахмала, структурная формула крахмала:

По внешнему виду крахмал представляет собой белое аморфное вещество без вкуса и запаха.

Крахмал не растворяется в холодной воде. В горячей воде сначала полностью растворяется амилоза, а амилопектин не растворяется, а разбухает, образуя вязкий коллоидный раствор – крахмальный клейстер. Не растворим в этаноле.

При сжатии порошка крахмала он издаёт характерный скрип, вызванный трением частиц.

Биологическая роль для организма человека крахмала заключается в том, что наряду с сахарозой он служит основным источников углеводов – одного из важнейших компонентов пищи. Крахмал самый распространенный углевод в рационе человека.

Попадая в организм человека или животных в желудок и в кишечник, под действием собственных ферментов крахмал гидролизуется до глюкозы, после чего всасывается и попадает в кровь. Далее в клетках человека или животных глюкоза окисляется до углекислого газа и воды с выделением энергии, необходимой для функционирования живого организма.

Крахмал не имеет температуру плавления. При температуре 410 °C самовозгорается.

Почему вам не нужны добавки с резистентным крахмалом

Исследования в которых использовали изолированный резистентный крахмал иногда показывают неожиданные результаты.

В одном исследовании на крысы с колоректальным раком получали в дополнение к диете картофельный крахмал и у них увеличилась частота возникновения и размер опухолей. При этом когда к крахмалу добавили пшеничные отруби (нерастворимую клетчатку), количество крыс с опухолями уменьшилось на 30%, а опухоли стали меньше. На всякий случай отметим ещё раз — это были крысы, которые использовались как модели рака кишечника, рак был спровоцирован ещё до специальной диеты.

Wheat Bran Suppresses Potato Starch—Potentiated Colorectal Tumorigenesis at the Aberrant Crypt Stage in a Rat Model

В ещё одном исследовании люди получали изолированный резистентный крахмал из высоко-амилозного маиса или кукурузный крахмал. Резистентный крахмал значительно увеличил один из маркеров формирования колоректального рака — количество ДНК аддуктов. Авторы подчеркивают — это не значит, что РК вызывает рак, это значит что конкретно эта разновидность РК влияет на конкретно этот маркер. Пролиферации клеток у участников обнаружено не было.

Effect of Enzyme-resistant Starch on Formation of 1,N2-Propanodeoxyguanosine Adducts of trans-4-Hydroxy-2-nonenal and Cell Proliferation in the Colonic Mucosa of Healthy Volunteers

Безопаснее всего получать резистентный крахмал в виде цельной пищи — помимо него там будут другие разновидности пищевых волокон, которые помогут поддерживать разнообразие микробиоты. Резистентный крахмал подкармливает конкретные разновидности бактерий, но даже хорошие бактерии могут навредить, если их будет слишком много. Тем более мы до сих пор не знаем точно, какой должна быть идеальная микробиота, а по предположениям исследователей для разных людей состав идеальной для них микробиоты тоже будет разный.

Какой полезнее?

Есть популярный миф, согласно которому от картофельного крахмала или от его употребления в целом усиливается развитие жировых отложений. В реальности ситуация обратная, специалисты даже рекомендуют применять крахмал для похудения.

Поскольку в плане химического состава особой разницы нет, полученные из обоих видов растений реагенты:

  • помогают вырабатывать энергию;
  • усиливают иммунитет;
  • понижают концентрацию сахара в крови.

Норма и частота потребления крахмала зависят от целого ряда факторов: возраста, телосложения, сопутствующих патологий, двигательной активности, экологической обстановки, рода профессиональной деятельности. Учесть все это в должной мере могут только медики. В любом случае не рекомендуется вводить крахмал в питание без меры.

О том, как сделать картофельный крахмал своими руками, смотрите в следующем видео.

Картофельный крахмал легко усваивается организмом и благотворно влияет на работу ЖКТ. Изготовленный на его основе кисель обволакивает стенки желудка и обеспечивает организм энергией.

Кукурузный углевод отличается отсутствием в составе глютена. Поэтому он рекомендован людям, страдающим сахарным диабетом. Если на завтрак съесть пищу, богатую кукурузным крахмалом, даже к вечеру не наблюдается повышение уровня сахара в крови.

КПАХМАЛ- Картофельный или Кукурузный, Отличия, Какой для Чего?КПАХМАЛ- Картофельный или Кукурузный, Отличия, Какой для Чего?

Принцип действия в теле человека

Углеводы жизненно необходимы человеку, так как именно они являются источником энергии. Попадая с пищей в желудок, крахмал преобразовывается в глюкозу, которая затем с током крови поступает во все системы организма, а избыток ее накапливается в мышечной системе и печени. Крахмал относится к сложным углеводам, которые расщепляются, а, значит, и перевариваются дольше простых, тем самым обеспечивая длительную «подзарядку» организма и чувство сытости на много часов.

Роль крахмала в процессе пищеварения

Расщепление крахмала начинается сразу же после начала пережевывания пищи. Под воздействием слюны молекула крахмала преобразуется в более простое соединение – мальтозу. Последняя через желудок и двенадцатиперстную кишку попадает в тонкий кишечник, где процесс преобразования в глюкозу завершается окончательно. Получившаяся глюкоза всасывается через стенки кишечника в кровь, и по кровеносным сосудам разносится по организму, попадая в каждую клеточку человеческого тела.

Если глюкозы в организм поступает слишком много, пищеварительная система не может обработать ее всю сразу, поэтому откладывает излишки «про запас» в печени и мышцах. Такие запасы глюкозы «на черный день» называются гликоген. Организм использует его как дополнительный источник энергии во время выздоровления после длительной болезни, в период стрессов или больших физических нагрузок, когда обычного «топлива» не хватает.

Неперевариваемый крахмал

Крахмал – углевод сложный, строение его молекулы, соответственно, тоже не простое. Поэтому далеко не весь крахмал, который поступает с пищей в человеческий организм, переваривается и преобразовывается в глюкозу. Частично это вещество остается неизменным. Такой крахмал называется резистентным, то есть, устойчивым к процессам пищеварения.

Именно такой крахмал является самым полезным для человека. Его наличие в организме уменьшает аппетит, регулирует содержание глюкозы в крови и выработку инсулина поджелудочной железой. Резистентный крахмал также способствует выведению из организма «плохого» холестерина.

Классификация резистентных крахмалов

Существует четыре разновидности устойчивого к пищеварению крахмала:

  • Тот, который содержится в горохе, фасоли, злаках и семенах растений;
  • Картофельный и банановый крахмал;
  • Крахмал, который образовывается в результате термообработки содержащих его продуктов (например, при варке картофеля или риса);
  • Получающий резистентность в результате химических реакций.

Вышеуказанные типы часто комбинируются в одних и тех же продуктах. Например, резистентный крахмал в недозрелых бананах по мере их дозревания превращается в обычный, расщепляемый. Или же крахмал второго типа преобразуется в четвертый в результате варки картофеля.

Крахмалистые фрукты. Крахмалистые и некрахмалистые овощи – таблица

Крахмалистые овощи содержат в своем составе крахмал, превращающийся в ходе переваривания в глюкозу, относится к наиболее распространенной в природе форме полисахаридов.

Поэтому деление овощей на крахмалистые и некрахмалистые, изначально являвшееся частью теории раздельного питания, нашло место в универсальной здоровом питании.

Некрахмалистые овощи — настоящие помощники в похудении, а вот с крахмалистыми стоит держать ухо востро!

Но как не перепутать?  Вам поможет таблица со списком, выбрать для себя наиболее полезные овощи

Продукты, содержащие крахмал являются указанием, много ли в вашем рационе быстрых углеводов?

Чем отличаются углеводы? Подробности в статье– скачайте таблицу

Как вы знаете, излишек в рационе быстрых углеводов способствуют набору массы тела, и если вы будете обращать пристальное внимание на их количество, тогда вы сможете регулировать калорийность своего рациона. При похудении, всегда рекомендуется кушать овощи с низким содержанием крахмала, а как узнать крахмалистые овощи или не крахмалистые?

При похудении, всегда рекомендуется кушать овощи с низким содержанием крахмала, а как узнать крахмалистые овощи или не крахмалистые?

Самые крахмалистые овощи

Наибольшим процентом содержания крахмала отличаются корнеплоды и крупные зерна, накапливающие питательные вещества для продолжения роста и обеспечения «продовольственным запасом» зародыша растения.

Считается, что чемпионом по содержанию крахмала является картофель, но это не совсем так, в нем присутствует от 16-18%.

В обработанном виде, в виде чипсов и во фри, крахмала содержится больше. А в отварном картофеле и в пюре – 11 -14%

Рекомендации диетологов достаточно строгие – ешьте меньше картофеля, но они не рекомендуют отказаться совсем. Поэтому, во всем нужна мера и разумное количество. Излишки любых продуктов, а также переедание, всегда будет приводить к набору веса.

С чем употреблять крахмалистые овощи?

Крахмалистые овощи рекомендуется если и употреблять, то только в сочетании с зелеными некрахмалистыми овощами, жирами (как растительными, так и животными), избегая гастрономического тандема с белками, сахаром и кислотой.

Действует правило: один прием пищи — один вид крахмалистых овощей.

Некрахмалистые овощи — основа меню при снижении веса!

Продукты из этого списка прекрасно сочетаются со всеми видами крахмалистой и белковой пищи, отлично усваиваясь и не создавая никаких проблем ни желудочно-кишечному тракту, ни талии.

Молоко — единственный нежелательный спутник для некрахмалистых овощей, причем следует избегать не только обычного цельного, но и соусов на его основе (таких, как, например, бешамель).

Цветную капусту основоположник раздельного питания Герберт Шелтон относил к умеренно крахмалистым овощам, с одной стороны, по сочетаемости и диетическим свойствам относя ее к некрахмалистым собратьям, а с другой — отмечая, что, тем не менее, употреблять в пищу цветной капусты следует немного, и лучше всего вместе с жирами.

Последователи Шелтона расширили список умеренно крахмалистых овощей, добавив туда новых участников, которые хоть и содержат крахмал, но не в криминальных количествах.

Обратите внимание на то, что баклажан в разных трактовках также может относиться и к некрахмалистым, и к умеренно крахмалистым овощем. (см

таблицы ниже).

Обожаемые многими помидоры, на которых стоит популярная томатная диета, не нашли места ни в числе крахмалистых, ни среди некрахмалистых овощей, хотя в распространенном представлении это самый что ни на есть салатный овощ (правда, с ботанической точки зрения помидор – ягода).

Шелтон установил, что главное в пищевой характеристике помидора — его кислота, а не содержание крахмала.

Из-за высокого процента цитрусовой, яблочной и щавелевой кислот в составе краснощекие томаты относятся к кислой пище, и их нельзя есть ни с чем крахмалистым, зато можно — с листовыми овощами и жирами.

Пользуясь списками, вы сможете без труда ориентироваться в многообразии овощей, выбирая эффективные продукты для похудения и поддержания формы.

Но мне хочется сказать несколько слов в защиту крахмала 

Он необходим организму для получения энергии, формирования тканей и мускулов, нормального функционирования мозга.

Вот почему продукты, содержащие крахмал, следует периодически включать в рацион.

Ссылка на основную публикацию
Похожее